'/> Contoh Soal Limit

Info Populer 2022

Contoh Soal Limit

Contoh Soal Limit
Contoh Soal Limit

Contoh Soal Limit – Materi makalah pembahasan kali ini mengenai pola soal limit beserta pengertian, sifat-sifat limit teorima limi dan pola soalnya. Namun dipertemuan sebelumnya kami telah membahas mengenai Contoh Soal Fungsi. Mari kita pelajari dengan seksama klarifikasi lengkapnya berikut ini.



Pengertian Limit


 Materi makalah pembahasan kali ini mengenai pola soal limit beserta pengertian Contoh Soal Limit


Limit dalam ilmu matematika ialah merupakan sebagai batas yang sanggup dicapai di suatu titikAdapun Dalam pengertian lainnya ialah, sebagai suatu prediksi nilai ordinat yang didapat pada suatu titik. Suatu nilai limit sanggup diperoleh dengan cara yaitu pendekatan dari sisi kanan dan sisi kiri. Apabila pada nilai limit dari kiri itu sama dengan nilai limit dari kanan maka didapat fungsi f(x) memiliki nilai limit.


Sifat-Sifat Limit Fungsi



  • Jika f(x) = k maka lim ñ→∞ f(x) =k

  • Jika f(x) = x maka lim ñ→∞ f(x) =a

  • lim ñ→∞ (k.f(x) = k.lim ñ→∞ f(x)

  • lim ñ→∞{F(x) ± g(x} = lim ñ→∞f(x) ± lim ñ→∞g(x)ñ)ñ

  • lim ñ→∞{F(x).g(x)} = lim ñ→∞F(x) . lim ñ→∞ g(x)ñ)ñ

  • lim ñ→∞¹f(x) – g(x) = lim ñ→∞¹f(x) ⁄  lim ñ→∞ g(x)  dengan lim ñ→∞ g(x)‡ 0

  • lim ñ→∞(f(x)ñ) = lim ñ→∞ f(x) )ñ keterangan k= konstanta


Limit Fungsi Aljabar


Jika limx→ªf(x) maka sanggup memakai rumusan sebagai berikut:



  • Jika f(a) = maka nilai limx →∞ f(x) = f(a) =C

  • Jika f(a) = maka nilai limx →∞ f(x) =C° = ∞

  • Jika f(a) = maka nilai limx→∞ f(x) =° C = 0

  • Jika f(a) =ºº maka nilaif(x) diubah lebih dulu menjadi bentuk 1,2 atau 3


Teorema Limit


Definisi dan Teorema Limit. Limit dalam bahasa umum bermakna batas. Pada ketika mempelajari ilmu matematika terdapat suatu pernyataan dari  beberapa guru yang menyatakan bahwa limit  ialah merupakan pendekatan. Definisi dari limit ini menyatakan bahwa suatu fungsi f(x) akan mendekati nilai tertentu kalau x mendekati nilai tertentu.  Terbatasnya dalam pendekatan ini yang mana antara dua bilangan positif yang kecil atau disebut juga epsilon dan delta. Lalu kemudian dalam kaitan yang ke-2 yang mana bilangan positif kecil ini terangkum dalam definisi limit.



Contoh Soal Limit


Berikut ini terdapat beberapa pola soal limit:



Contoh Soal.1


Hitunglah nilai dari :













lim

x → 4
2x2 + x − 15
x2 + 7x + 12

Pembahasan :
















lim

x → 4
x2 + x − 15=lim

x → 4
(2x − 5)(x + 3)
7x + 7x + 12 (x + 4)(x + 3)















lim

x → 4
x2 + x − 15=lim

x → 4
(2x − 5)
2x2 + 7x + 12 (x + 4)














lim

x → 4
2x2 + x − 15=2(4) − 5
x2 + 7x + 12  4 + 4














lim

x → 4
x2 + x − 15=3
x2 + 7x + 128


Contoh Soal.2

Tentukan nilai dari limit fungsi di bawah ini.













lim

x → 4
3x2 − 14x + 8
  x2 − 3x − 4

Pembahasan :
















lim

x → 4
.x2 − 14x + 8=lim

x → 4
(3x − 2)(x − 4)
  x2 − 3x − 4 (x + 1)(x − 4)















lim

x → 4
3x2 − 1x + 8=lim

x → 4
(3x − 2)
  x2 − 3x − 4 (x + 1)














lim

x → 4
3²x2 − 14x + 8=3(4) − 2
  x2 − 3x − 4  4 + 1







lim

x → 4 3x2 − 14x + 8 = 10   x2 − 3x − 4  5













lim

x → 4
3x2 − 14x + 8= 2
  x2 − 3x − 4


Contoh Soal.3


Tentukan nilai dari :













lim

x → 2
x2 − 5x + 6
x2 + 2x − 8

Pembahasan :
















lim

x → 2
x2 − 5x + 6=lim

x → 2
(x − 3)(x − 2)
x2 + 2x − 8(x + 4)(x − 2)















lim

x → 2
x2 − 5x + 6=lim

x → 2
(x − 3)
x2 + 2x − 8(x + 4)














lim

x → 2
x2 − 5x + 6=2 − 3
x2 + 2x − 82 + 4














lim

x → 2
x2 − 5x + 6=-1
x2 + 2x − 8 6


Contoh Soal.4

Tentukan nilai dari :













lim

x → 3
   x2 − 9
x2 − x − 6

Pembahasan :
















lim

x → 3
   3.x2 −9=lim

x→ 3
( x+3)(x − 3)
x2−x− 6(x+ 2)(x − 3)















lim

x→ 3
   x2 9=lim

x→ 3
(x + 3)
x2 − x −6(x+ 2)














lim

x →3
   x2−9=+3
x2 − x −63+ 2














lim

x→ 3
   x2 − 9=6
x2−x −65



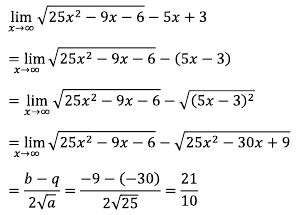
Contoh soal.5










Nilai dariadalah…

A. − 39/10

B. − 9/10

C. −21/10

D. 39/10

E. ∞


Pembahasan

Yaitu bagaimana langkah-langkah dan cara untuk sanggup mengubah kepada bentuk selisih akar.



Contoh Soal.6










Nilai dari Materi makalah pembahasan kali ini mengenai pola soal limit beserta pengertian Contoh Soal Limitadalah…

A. ∞

B. 8

C. 5/4

D. 1/2

E. 0


Pembahasan

Cara mengubah sampai membentuk selisih akar ibarat soal nomor tujuh .



Contoh Soal.7










Nilai dari Materi makalah pembahasan kali ini mengenai pola soal limit beserta pengertian Contoh Soal Limitadalah…

Pembahasan

Dapatkah merubah ke bentuk selisih akar ibarat soal nomor tujuh juga.



Contoh Soal.8









Nilai

A. −1/4

B. −1/2

C. 1

D. 2

E. 4

(Soal Limit Fungsi Aljabar UN 2012)


Pembahasan

Dengan cara mengubah bentuk pada akarnya ke bentuk pangkat semoga lebih gampang diturunkan ibarat ini


Dengan menurunkan yang diatas – kemudian bawah, kemudian masukkan angka 3 nya


 Materi makalah pembahasan kali ini mengenai pola soal limit beserta pengertian Contoh Soal Limit




 


Demikianlah bahan pembahasan mengenai pola soal limit kali ini, semoga artikel ini sanggup bermanfaat serta sanggup menambah ilmu pengetahuan kita semua.


Artikel ContohSoal.co.id Lainnya:




Advertisement

Iklan Sidebar